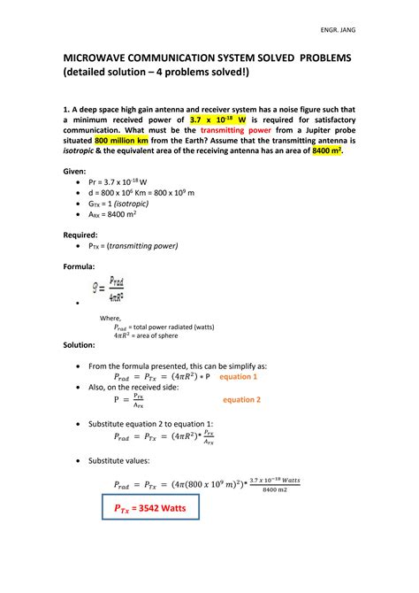
Christoper Vanpelt Blog